Recientemente, un equipo de investigación del Hospital de China Occidental DE LA Universidad de Sichuan realizó un análisis en profundidad de los datos de la Encuesta Nacional de Examen de Salud y Nutrición (NHANES) de 2009 a 2018, en el que participaron 19.280 participantes. Los resultados mostraron que los carotenoides tienen un efecto significativo en la desaceleración de la aceleración del envejecimiento fenotípico, siendo particularmente notables el β-caroteno y La β-criptoxantina. Esto indica que estos pigmentos naturales tienen un gran potencial en el campo del anti-envejecimiento.

Los carotenoides son pigmentos naturales solubles en grasa que se encuentran ampliamente en algas, hongos, bacterias y plantas. Se han identificado más de 700 carotenoides naturales. Según su estructura química, los carotenoides se pueden dividir en dos categorías: una que contiene solo elementos de carbono e hidrógeno sin oxígeno (como α-caroteno, β-caroteno y licopeno), Y otro que consiste en sus derivados oxidados que contienen grupos funcionales de oxígeno como grupos hidroxilo, Ceto, carboxilo y metoxi. (Como luteína y zeaxantina). Entre los carotenoides que circulan en la sangre humana, seis tipos (α-caroteno, β-caroteno, β-criptoxantina, licopeno, luteína y zeaxantina) representan más de 95%.
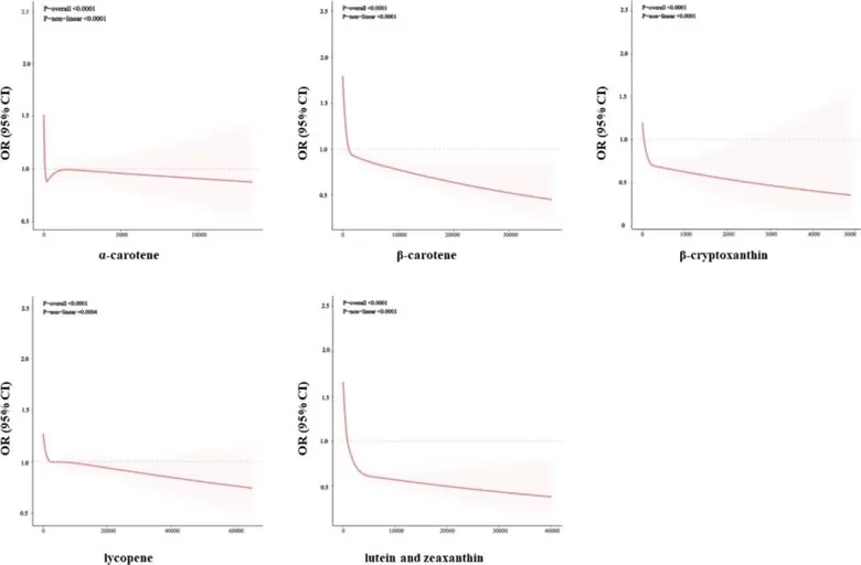
Un estudio basado en los datos de la Encuesta Nacional de Examen de Salud y Nutrición (NHANES) exploró la relación entre la ingesta de carotenoides dietéticos y el proceso de envejecimiento biológico. La investigación obtuvo los niveles de ingesta de carotenoides mediante el análisis de datos dietéticos y evaluó la edad biológica utilizando los métodos PhenoAge y Klemera-Doubal (KDM).
Los resultados mostraron que los niveles más altos de carotenoides dietéticos se asociaron significativamente con una tasa más lenta de envejecimiento biológico, lo que sugiere que los carotenoides tienen posibles efectos antienvejecimiento. Un análisis más detallado reveló una relación no lineal significativa entre los niveles de carotenoides y la aceleración de la edad biológica, lo que indica que su efecto protector aumenta a niveles de ingesta más altos.

Los resultados de la investigación indican que el β-caroteno y La β-criptoxantina tienen efectos particularmente significativos en el antienvejecimiento. Además, los efectos antienvejecimiento de los carotenoides varían entre diferentes poblaciones. Específicamente, los individuos más jóvenes (menores de 60 años), las mujeres, los pacientes con hipertensión y los pacientes con diabetes se benefician más significativamente de los altos niveles de ingesta de carotenoides, que ayuda a ralentizar el proceso de envejecimiento biológico.

El envejecimiento es un proceso biológico complejo caracterizado por una disminución gradual de las funciones fisiológicas y una mayor susceptibilidad a las enfermedades. El estrés oxidativo y la inflamación son factores clave que impulsan el proceso de envejecimiento. Los carotenoides, debido a su estructura molecular que contiene numerosos dobles enlaces conjugados, poseen fuertes capacidades antioxidantes. Pueden neutralizar eficazmente los radicales libres y reducir la inflamación, eliminando así las especies reactivas de oxígeno (ROS) como los radicales de peróxido y el oxígeno singlete en el cuerpo, desempeñando un papel crucial en la promoción del envejecimiento saludable.
El potencial antienvejecimiento de los carotenoides se basa principalmente en su capacidad para promover la translocación del factor 2 relacionado con el factor 2 Nuclear eritroide (Nrf2) al CEll núcleo. Una VEZ QUE Nrf2 se transloca al núcleo, inicia la transcripción de enzimas antioxidantes y desintoxicantes. Además, a medida que las células se dividen, sus telómeros se acortan gradualmente hasta que ocurre la muerte celular, y las ROS y la inflamación aceleran este acortamiento de los telómeros. Se ha informado que una alta ingesta dietética de β-caroteno se asocia con una longitud de telómeros más larga.
Los carotenoides, debido a su fuerte poder colorante y tonos estables, son ampliamente utilizados en diversos campos, como colorantes para bebidas, dulces y otros alimentos, así como aditivos nutricionales en los alimentos de los niños. Los carotenoides no solo poseen actividad de vitamina A, sino que también contribuyen a la salud cardiovascular y de la piel. Juegan un papel importante en la regulación fisiológica y la prevención de enfermedades en el cuerpo humano.
Los carotenoides ayudan a proteger la salud cardiovascular inhibiendo la oxidación de la lipoproteína de baja densidad (LDL), previniendo el desarrollo de la aterosclerosis y protegiendo las células vasculares del daño oxidativo, manteniendo así la función vascular. Entre estos, el licopeno y la luteína tienen importantes beneficios en este sentido. Un metaanálisis encontró que las personas con ingesta dietética de licopeno tenían un riesgo 17% reducido de enfermedad cardiovascular. El efecto de la luteína es 15 veces mayor que el del licopeno y 10 veces el del β-caroteno, previniendo eficazmente la peroxidación lipídica.
El fotoenvejecimiento es causado principalmente por factores ambientales y se manifiesta como disminución de la elasticidad de la piel, pigmentación anormal, sequedad y picazón. La radiación ultravioleta (UV) es un disparador clave, acelerando el envejecimiento de la piel al promover la generación de especies reactivas de oxígeno (ROS), que interrumpen las funciones protectoras y de reparación de la piel. Los estudios han demostrado que la suplementación con carotenoides puede prevenir eficazmente la formación de ROS inducida por UV. Por ejemplo, la astaxantina mejora la salud de la piel y ejerce efectos anti-fotoenvejecimiento al inhibir el daño oxidativo. Puede suprimir la síntesis de melanina, reducir la pigmentación, aumentar la humedad de la piel y mejorar la piel seca. Las investigaciones indican que la ingesta oral de astaxantina puede reducir las manchas y arrugas de la edad, y mejorar la hidratación y elasticidad de la piel. Además, la astaxantina puede disminuir el daño cutáneo inducido por los rayos UV, reducir la pérdida de humedad y las erupciones y proteger la salud de la piel.
La ingesta dietética de carotenoides se considera una estrategia fundamental para prevenir la enfermedad del hígado graso no alcohólico (NAFLD). El licopeno exhibe propiedades hepatoprotectoras contra diversas enfermedades hepáticas, incluida la enfermedad del hígado graso alcohólico y no alcohólico. Los efectos protectores del hígado del licopeno provienen principalmente de sus fuertes capacidades antioxidantes, que inhiben eficazmente el daño celular inducido por especies reactivas de oxígeno (ROS). Además, los estudios han indicado que el β-caroteno, uno de los carotenoides más abundantes en el hígado, demuestra efectos hepatoprotectores significativos. El aumento de la ingesta dietética de β-caroteno puede reducir significativamente el riesgo de esteatosis hepática y daño a las células hepáticas mediado por radicales libres.
La degeneración macular relacionada con la edad (DMAE) es una enfermedad común que afecta la visión causada principalmente por el daño degenerativo a los fotorreceptores en individuos maduros. Se ha convertido en la principal causa de ceguera en personas mayores de 65 años. Se prevé que para 2040, la prevalencia global de DMAE aumentará a casi 288 millones de personas [6].
Las primeras manifestaciones de la DMAE incluyen disminución de la visión, reducción de la sensibilidad al contraste y disminución de la agudeza visual, caracterizadas por una disminución gradual de la visión funcional a medida que avanza la afección. Los carotenoides juegan un papel crucial en el mantenimiento de la salud y la función de la región macular. Entre los diversos carotenoides, se ha demostrado que la luteína y la zeaxantina atraviesan la barrera sangre-retina y se acumulan en la retina para formar pigmento macular, un proceso esencial para la protección macular.
Además, se cree que la astaxantina, un miembro de la familia de la luteína que se encuentra principalmente en los organismos marinos, tiene posibles efectos protectores contra el daño y la disfunción de la retina inducidos por la luz. Debido a su estructura molecular única, la astaxantina puede atravesar la membrana de la bicapa celular, eliminando eficazmente las especies reactivas de oxígeno tanto en las capas interna como externa de las células. proporcionando así un mecanismo de defensa contra el estrés oxidativo para la retina.
Referencia:
[1] https://link.springer.com/article/10.1007/s10522-024-10160-4
[2] https://www.mdpi.com/1422-0067/24/20/15199
[3] https://pubmed.ncbi.nlm.nih.gov/28318092/
[4] https://pubmed.ncbi.nlm.nih.gov/31605782/
[5] https://pubmed.ncbi.nlm.nih.gov/31904420/
[6] https:// pUbmed.ncbi.nlm.nih.gov/34829613/
Fuente de la imagen: pixabay, enlaces: https://pixabay.com/zh/photos/smoothie-fruit-vegetables-1578240/